text.skipToContent text.skipToNavigation

{{ addToCartData.mixPtRmWarning }}

Do you want to proceed?

{{requestQuote.productName}}; {{requestQuote.displayProductCode}}

Thank you

We will respond to your enquiry shortly.

Something went wrong, please try again later.

Quick Order
If not, click 'cancel'. You can also save this item for later.
Cancel
If not, click 'cancel'. You can also save this item for later.
Cancel

Product Code

TRC-H833021

CAS Number

1251763-08-2

Product Format

Neat

Molecular Formula

C4 D4 H3 O3 . Na

Molecular Weight

130.111

Unlabelled CAS Number

502-85-2

Price and availability

48-hour USA dispatch time
Freight restricted.
If Exact Weight packaging is selected, a certificate will be delivered with the product, which will indicate the mass of the material dispensed into the vial with a precision of up to 3 decimal places. Exceptions apply.

{{ favouriteItem.successMessage }}

View favourites

Product removed from your favourites

{{ addToCartData.mixPtRmWarning }}

Do you want to proceed?

{{requestQuote.productName}}; {{requestQuote.displayProductCode}}

Thank you

We will respond to your enquiry shortly.

Something went wrong, please try again later.

Product Information

Chemical Data

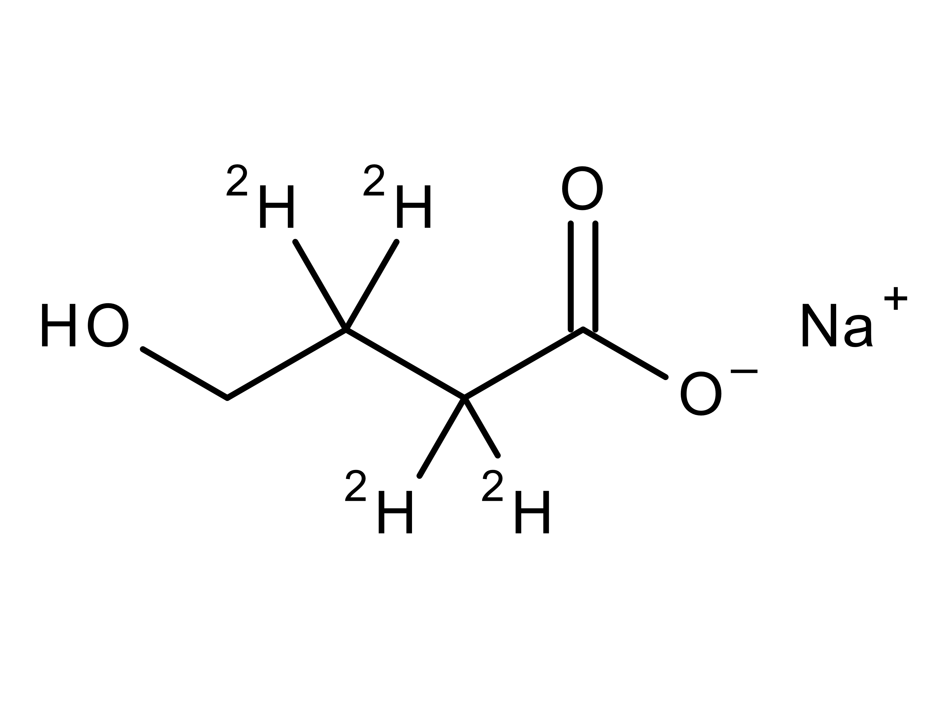
Analyte Name

Sodium Gammahydroxybutyrate-2,2,3,3-D4

CAS Number

1251763-08-2

Molecular Formula

C4 D4 H3 O3 . Na

Molecular Weight

130.111

Accurate Mass

130.054

SMILES

[Na+].[2H]C([2H])(CO)C([2H])([2H])C(=O)[O-]

InChI

InChI=1S/C4H8O3.Na/c5-3-1-2-4(6)7;/h5H,1-3H2,(H,6,7);/q;+1/p-1/i1D2,2D2;

IUPAC

sodium;2,2,3,3-tetradeuterio-4-hydroxybutanoate

Unlabelled CAS Number

502-85-2

SIL Type

Deuterium

Product Data

Shipping Temperature

Room Temperature

Country of Origin

CANADA

Product Format

Neat

Punchout session timeout warning

Your punchout session will expire in1 min59 sec.

Select "Continue session" to extend your session.