text.skipToContent text.skipToNavigation

{{ addToCartData.mixPtRmWarning }}

Do you want to proceed?

{{requestQuote.productName}}; {{requestQuote.displayProductCode}}

Thank you

We will respond to your enquiry shortly.

Something went wrong, please try again later.

Quick Order
If not, click 'cancel'. You can also save this item for later.
Cancel
If not, click 'cancel'. You can also save this item for later.
Cancel

Product Code

TRC-Q795787

Product Format

Neat

Molecular Formula

C7 D7 H6 N O

Molecular Weight

134.2274

Unlabelled CAS Number

253633-42-0

Price and availability

48-hour USA dispatch time
Freight restricted.
If Exact Weight packaging is selected, a certificate will be delivered with the product, which will indicate the mass of the material dispensed into the vial with a precision of up to 3 decimal places. Exceptions apply.

{{ favouriteItem.successMessage }}

View favourites

Product removed from your favourites

{{ addToCartData.mixPtRmWarning }}

Do you want to proceed?

{{requestQuote.productName}}; {{requestQuote.displayProductCode}}

Thank you

We will respond to your enquiry shortly.

Something went wrong, please try again later.

Product Information

Chemical Data

Analyte Name

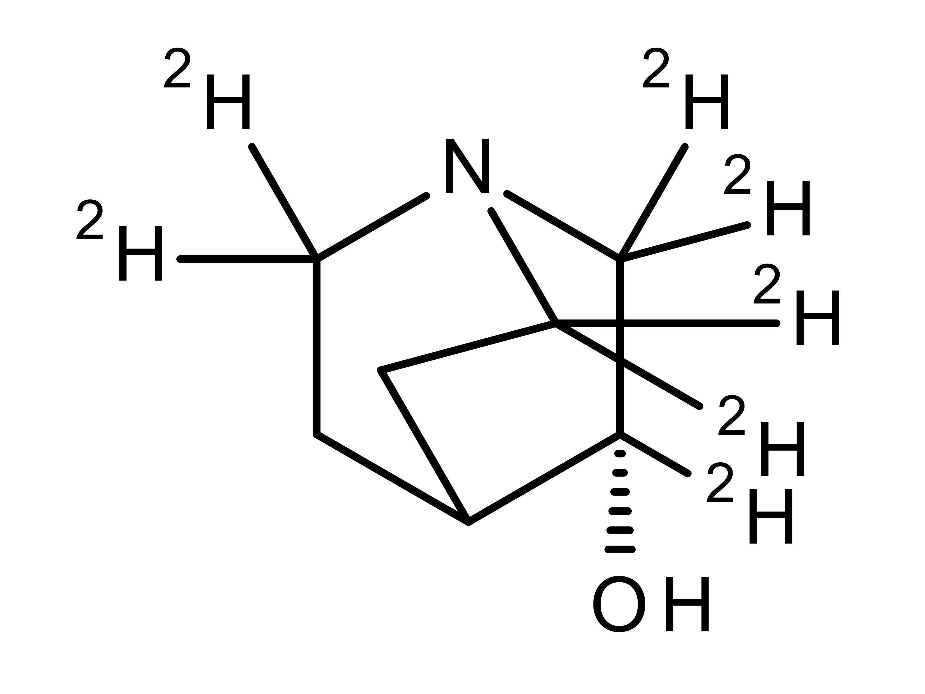
(3R)-3-Quinuclidinol-2,2,3,6,6,7,7-D7

Molecular Formula

C7 D7 H6 N O

Molecular Weight

134.2274

Accurate Mass

134.1437

SMILES

[2H]C1([2H])CC2CC([2H])([2H])N1C([2H])([2H])[C@]2([2H])O

InChI

InChI=1S/C7H13NO/c9-7-5-8-3-1-6(7)2-4-8/h6-7,9H,1-5H2/t7-/m0/s1/i3D2,4D2,5D2,7D

IUPAC

(3R)-2,2,3,6,6,7,7-heptadeuterio-1-azabicyclo[2.2.2]octan-3-ol

Unlabelled CAS Number

253633-42-0

SIL Type

Deuterium

Product Data

Storage Temperature

-20°C

Shipping Temperature

Room Temperature

Country of Origin

CANADA

Product Format

Neat

Punchout session timeout warning

Your punchout session will expire in1 min59 sec.

Select "Continue session" to extend your session.