(±)-Glyceryl 1,2-Dioctadecanoate-d70
Código del producto
CDN-D-8092
Formato del producto
Neat
Fórmula molecular
C39 D70 H6 O5
Peso molecular
695.4491
Categorías de producto
Stable isotopes, Stable Isotope Labelled Analytical Standards
Tipo de producto
Stable Isotope LabelledNúmero CAS sin etiquetar
Purity
98 atom % D, min 98% Chemical Purity
Share product
- Product Name: (±)-Glyceryl 1,2-Dioctadecanoate-d70
- Código de producto: CDN-D-8092
- Marca: CDN
Documentación
Buscar una ficha de datos de seguridad en mi idioma
{{ errors.first('RequestSdsForm.selectedRegion') }}
{{ errors.first('RequestSdsForm.sdsEmail') }}
Para más información sobre nuestras actividades de procesamiento de datos, visite nuestra Política de privacidad.
Your request has been sent to our sales team to process.
Información del producto
Información de los analitos
Nombre del analito
Glyceryl 1,2-Distearate-D70
Fórmula molecular
C39 D70 H6 O5
Peso molecular
695.4491
Masa exacta
695.0086
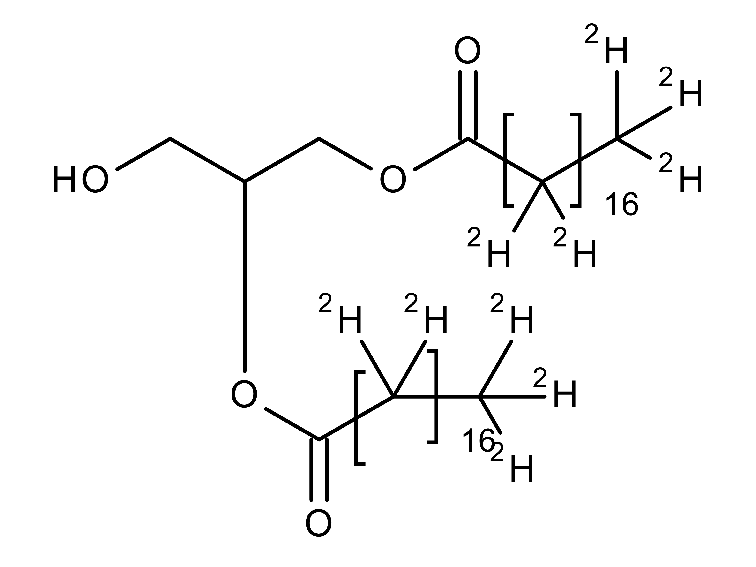
SMILES
[2H]C([2H])([2H])C([2H])([2H])C([2H])([2H])C([2H])([2H])C([2H])([2H])C([2H])([2H])C([2H])([2H])C([2H])([2H])C([2H])([2H])C([2H])([2H])C([2H])([2H])C([2H])([2H])C([2H])([2H])C([2H])([2H])C([2H])([2H])C([2H])([2H])C([2H])([2H])C(=O)OCC(CO)OC(=O)C([2H])([2H])C([2H])([2H])C([2H])([2H])C([2H])([2H])C([2H])([2H])C([2H])([2H])C([2H])([2H])C([2H])([2H])C([2H])([2H])C([2H])([2H])C([2H])([2H])C([2H])([2H])C([2H])([2H])C([2H])([2H])C([2H])([2H])C([2H])([2H])C([2H])([2H])[2H]
InChI
InChI=1S/C39H76O5/c1-3-5-7-9-11-13-15-17-19-21-23-25-27-29-31-33-38(41)43-36-37(35-40)44-39(42)34-32-30-28-26-24-22-20-18-16-14-12-10-8-6-4-2/h37,40H,3-36H2,1-2H3/i1D3,2D3,3D2,4D2,5D2,6D2,7D2,8D2,9D2,10D2,11D2,12D2,13D2,14D2,15D2,16D2,17D2,18D2,19D2,20D2,21D2,22D2,23D2,24D2,25D2,26D2,27D2,28D2,29D2,30D2,31D2,32D2,33D2,34D2
IUPAC
[3-hydroxy-2-(2,2,3,3,4,4,5,5,6,6,7,7,8,8,9,9,10,10,11,11,12,12,13,13,14,14,15,15,16,16,17,17,18,18,18-pentatriacontadeuteriooctadecanoyloxy)propyl] 2,2,3,3,4,4,5,5,6,6,7,7,8,8,9,9,10,10,11,11,12,12,13,13,14,14,15,15,16,16,17,17,18,18,18-pentatriacontadeuteriooctadecanoate
Número CAS sin etiquetar
51063-97-9
Tipo SIL
Deuterium
Datos del producto
Temperatura de almacenamiento
+4°C
Temperatura de envío
Room Temperature
País de origen
CANADA
Formato del producto
Neat
Purity
98 atom % D, min 98% Chemical Purity
{{title}}
Inicie sesión o regístrese para añadir a sus favoritos
O continúe navegando sin acceso a favoritos ni precios
Inicie sesión para ver el precio y añadir el producto al carrito
O siga navegando para ver las rondas disponibles sin información sobre el precio
- Código de producto:
{{ isMultiplePacksize(product) ? getSourcePart(product) : product.code }} {{ isMultiplePacksize(product) ? getSourcePart(product) : product.code }}
Controlled product
Login to view full product details
{{ addToCartData.mixPtRmWarning }}
¿Desea continuar?
{{ errors.first('requestQuoteForm.firstName') }}
{{ errors.first('requestQuoteForm.lastName') }}
{{ errors.first('requestQuoteForm.email') }}
{{ errors.first('requestQuoteForm.phoneCountryCode') }}
{{ errors.first('requestQuoteForm.phoneNumber') }}
{{ errors.first('requestQuoteForm.company') }}
{{ errors.first('requestQuoteForm.selectedShippingAddress') }}
{{ errors.first('requestQuoteForm.shippingCompanyName') }}
{{ errors.first('requestQuoteForm.shippingLine1') }}
{{ errors.first('requestQuoteForm.shippingCountry') }}
{{ errors.first('requestQuoteForm.shippingState') }}
{{ errors.first('requestQuoteForm.shippingCity') }}
{{ errors.first('requestQuoteForm.shippingPostCode') }}
{{ errors.first('requestQuoteForm.billingCompanyName') }}
{{ errors.first('requestQuoteForm.billingLine1') }}
{{ errors.first('requestQuoteForm.billingCountry') }}
{{ errors.first('requestQuoteForm.billingState') }}
{{ errors.first('requestQuoteForm.billingCity') }}
{{ errors.first('requestQuoteForm.billingPostCode') }}
{{ errors.first('requestQuoteForm.deliveryCountry') }}
{{ errors.first('requestQuoteForm.packSize') }}
{{ errors.first('requestQuoteForm.quantity') }}