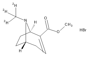
Anhydroecgonine methylester-D3.HBr
Código del producto
LPM-COC-296-HB
Número CAS
Formato del producto
Neat
Fórmula molecular
C10 D3 H12 N O2 . Br H
Peso molecular
265.162
Categorías de producto
Reference Materials for Cocaine and Related Substances , Lipomed
Tipo de producto
Stable Isotope LabelledShare product
- Product Name: Anhydroecgonine methylester-D3.HBr
- Código de producto: LPM-COC-296-HB
- Número CAS: 219533-62-7
- Marca: Lipomed
Documentación
¿Busca otro lote?
Para ver todos los certificados de análisis inmediatamente, inicie sesión en su cuenta
o
Mandar enlace para descarga por correo electrónico
{{ errors.first('RequestCoaForm.lotNumber') }}
{{ errors.first('RequestCoaForm.requestEmail') }}
Para más información sobre nuestras actividades de procesamiento de datos, visite nuestra Política de privacidad.
Introduzca su dirección de correo electrónico y le enviaremos el CoA correspondiente para los lotes:
{{ coaPopupData.packSize.coaSelectedLotNumbers }}
{{ errors.first('SendDownloadCoaLinkForm.coaEmail') }}
Enviaremos el CoA a su dirección de correo electrónico. {{ coaEmailPopupData.userEmail }}
Your request has been sent to our sales team to process.
Buscar una ficha de datos de seguridad en mi idioma
{{ errors.first('RequestSdsForm.selectedRegion') }}
{{ errors.first('RequestSdsForm.sdsEmail') }}
Para más información sobre nuestras actividades de procesamiento de datos, visite nuestra Política de privacidad.
Your request has been sent to our sales team to process.
Información del producto
Información de los analitos
Nombre del analito
Anhydroecgonine D3 Methyl Ester Hydrobromide
Número CAS
219533-62-7
Fórmula molecular
C10 D3 H12 N O2 . Br H
Peso molecular
265.162
Masa exacta
264.0553
SMILES
Br.[2H]C([2H])([2H])N1[C@H]2CC[C@@H]1C(=CC2)C(=O)OC
InChI
InChI=1S/C10H15NO2.BrH/c1-11-7-3-5-8(10(12)13-2)9(11)6-4-7;/h5,7,9H,3-4,6H2,1-2H3;1H/t7-,9-;/m1./s1/i1D3;
IUPAC
methyl (1R,5S)-8-(trideuteriomethyl)-8-azabicyclo[3.2.1]oct-2-ene-2-carboxylate;hydrobromide
Tipo SIL
Deuterium
Datos del producto
Temperatura de almacenamiento
+5°C
Temperatura de envío
Room Temperature
País de origen
SWITZERLAND
Formato del producto
Neat
{{title}}
Inicie sesión o regístrese para añadir a sus favoritos
O continúe navegando sin acceso a favoritos ni precios
Inicie sesión para ver el precio y añadir el producto al carrito
O siga navegando para ver las rondas disponibles sin información sobre el precio
- Código de producto:
{{ isMultiplePacksize(product) ? getSourcePart(product) : product.code }} {{ isMultiplePacksize(product) ? getSourcePart(product) : product.code }}
Controlled product
Login to view full product details
{{ addToCartData.mixPtRmWarning }}
¿Desea continuar?
{{ errors.first('requestQuoteForm.firstName') }}
{{ errors.first('requestQuoteForm.lastName') }}
{{ errors.first('requestQuoteForm.email') }}
{{ errors.first('requestQuoteForm.phoneCountryCode') }}
{{ errors.first('requestQuoteForm.phoneNumber') }}
{{ errors.first('requestQuoteForm.company') }}
{{ errors.first('requestQuoteForm.selectedShippingAddress') }}
{{ errors.first('requestQuoteForm.shippingCompanyName') }}
{{ errors.first('requestQuoteForm.shippingLine1') }}
{{ errors.first('requestQuoteForm.shippingCountry') }}
{{ errors.first('requestQuoteForm.shippingState') }}
{{ errors.first('requestQuoteForm.shippingCity') }}
{{ errors.first('requestQuoteForm.shippingPostCode') }}
{{ errors.first('requestQuoteForm.billingCompanyName') }}
{{ errors.first('requestQuoteForm.billingLine1') }}
{{ errors.first('requestQuoteForm.billingCountry') }}
{{ errors.first('requestQuoteForm.billingState') }}
{{ errors.first('requestQuoteForm.billingCity') }}
{{ errors.first('requestQuoteForm.billingPostCode') }}
{{ errors.first('requestQuoteForm.deliveryCountry') }}
{{ errors.first('requestQuoteForm.packSize') }}
{{ errors.first('requestQuoteForm.quantity') }}