Informazioni sul prodotto
Chemical Data
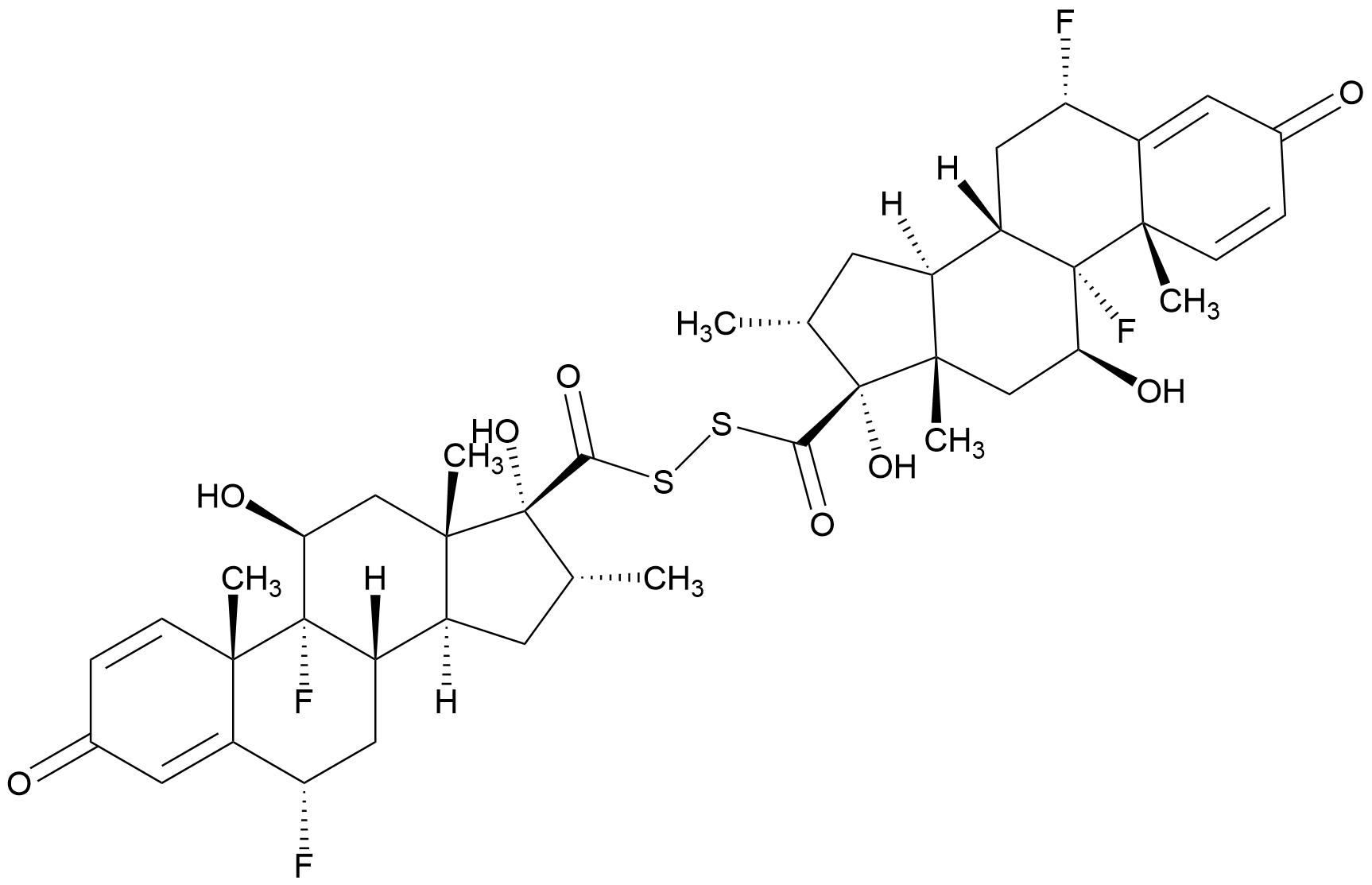
Nome dell'analita
Desfluoromethyl Fluticasone Disulfide
Formula molecolare
C42 H50 F4 O8 S2
Peso molecolare
822.96521
Massa accurata
822.2883
SMILES
O=C1C=C[C@]2(C([C@H](C[C@@]3([C@@]2([C@H](C[C@]4([C@]3(C[C@H]([C@@]4(C(SSC([C@]5([C@@H](C[C@]6([C@@]7(C[C@@H](C8=CC(C=C[C@@]8([C@]7([C@H](C[C@@]65C)O)F)C)=O)F)[H])[H])C)O)=O)=O)O)C)[H])C)O)F)[H])F)=C1)C
InChI
InChI=1S/C42H50F4O8S2/c1-19-11-23-25-15-29(43)27-13-21(47)7-9-35(27,3)39(25,45)31(49)17-37(23,5)41(19,53)33(51)55-56-34(52)42(54)20(2)12-24-26-16-30(44)28-14-22(48)8-10-36(28,4)40(26,46)32(50)18-38(24,42)6/h7-10,13-14,19-20,23-26,29-32,49-50,53-54H,11-12,15-18H2,1-6H3/t19-,20-,23+,24+,25+,26+,29+,30+,31+,32+,35+,36+,37+,38+,39+,40+,41+,42+/m1/s1
IUPAC
S-[(6S,8S,9R,10S,11S,13S,14S,16R,17R)-6,9-difluoro-11,17-dihydroxy-10,13,16-trimethyl-3-oxo-6,7,8,11,12,14,15,16-octahydrocyclopenta[a]phenanthrene-17-carbonyl]sulfanyl (6S,8S,9R,10S,11S,13S,14S,16R,17R)-6,9-difluoro-11,17-dihydroxy-10,13,16-trimethyl-3-oxo-6,7,8,11,12,14,15,16-octahydrocyclopenta[a]phenanthrene-17-carbothioate
Dati del prodotto
Paese di origine
CANADA
Formato del prodotto
Neat
{{title}}
Effettua il login o registrati per aggiungere ai tuoi preferiti
Oppure continua a navigare senza accedere ai preferiti o ai prezzi
Effettua l'accesso per visualizzare i prezzi e aggiungere al carrello
Oppure continua a sfogliare per vedere i round disponibili senza le informazioni sui prezzi
- Codice prodotto:
{{ isMultiplePacksize(product) ? getSourcePart(product) : product.code }} {{ isMultiplePacksize(product) ? getSourcePart(product) : product.code }}
Controlled product
Login to view full product details
{{ addToCartData.mixPtRmWarning }}
Desideri procedere?
{{ errors.first('requestQuoteForm.firstName') }}
{{ errors.first('requestQuoteForm.lastName') }}
{{ errors.first('requestQuoteForm.email') }}
{{ errors.first('requestQuoteForm.phoneCountryCode') }}
{{ errors.first('requestQuoteForm.phoneNumber') }}
{{ errors.first('requestQuoteForm.company') }}
{{ errors.first('requestQuoteForm.selectedShippingAddress') }}
{{ errors.first('requestQuoteForm.shippingCompanyName') }}
{{ errors.first('requestQuoteForm.shippingLine1') }}
{{ errors.first('requestQuoteForm.shippingCountry') }}
{{ errors.first('requestQuoteForm.shippingState') }}
{{ errors.first('requestQuoteForm.shippingCity') }}
{{ errors.first('requestQuoteForm.shippingPostCode') }}
{{ errors.first('requestQuoteForm.billingCompanyName') }}
{{ errors.first('requestQuoteForm.billingLine1') }}
{{ errors.first('requestQuoteForm.billingCountry') }}
{{ errors.first('requestQuoteForm.billingState') }}
{{ errors.first('requestQuoteForm.billingCity') }}
{{ errors.first('requestQuoteForm.billingPostCode') }}
{{ errors.first('requestQuoteForm.deliveryCountry') }}
{{ errors.first('requestQuoteForm.packSize') }}
{{ errors.first('requestQuoteForm.quantity') }}