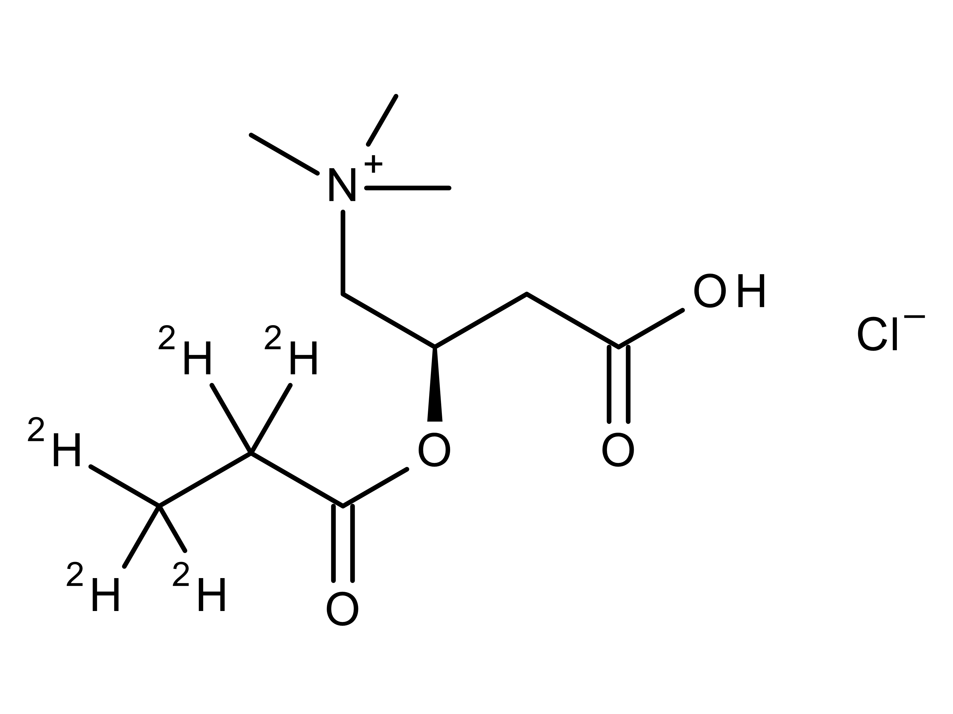
Propionyl-d5-L-carnitine HCl
Product Code
TRC-P786401-10MG
Product Format
Neat
Molecular Formula
C10 D5 H15 N O4 . Cl
Molecular Weight
258.754
Product Categories
Amino acids, Stable isotopes, TRC, Pharmaceutical Toxicology Reference Materials
Product Type
Stable Isotope LabelledUnlabelled CAS Number
Share product
- Product Name: Propionyl-d5-L-carnitine HCl
- Product Code: TRC-P786401-10MG
- Brand: TRC
Documentation
Looking for another lot?
To view all certificates of analysis immediately, please login to your account
or
Email download link
{{ errors.first('RequestCoaForm.lotNumber') }}
{{ errors.first('RequestCoaForm.requestEmail') }}
For information about our data processing activities, please visit our Privacy Notice.
Enter your email address and we'll email you the relevant CoA for lots:
{{ coaPopupData.packSize.coaSelectedLotNumbers }}
{{ errors.first('SendDownloadCoaLinkForm.coaEmail') }}
We will be sending the CoA to your email address {{ coaEmailPopupData.userEmail }}
Your request has been sent to our sales team to process.
Find an SDS for your region
{{ errors.first('RequestSdsForm.selectedRegion') }}
{{ errors.first('RequestSdsForm.sdsEmail') }}
For information about our data processing activities, please visit our Privacy Notice.
Your request has been sent to our sales team to process.
Product Information
Chemical Data
Analyte Name
Propionyl-L-carnitine-D5 (propionyl-D5) Hydrochloride
Molecular Formula
C10 D5 H15 N O4 . Cl
Molecular Weight
258.754
Accurate Mass
258.139
SMILES
[Cl-].[2H]C([2H])([2H])C([2H])([2H])C(=O)O[C@H](CC(=O)O)C[N+](C)(C)C
InChI
InChI=1S/C10H19NO4.ClH/c1-5-10(14)15-8(6-9(12)13)7-11(2,3)4;/h8H,5-7H2,1-4H3;1H/t8-;/m1./s1/i1D3,5D2;
IUPAC
[(2R)-3-carboxy-2-(2,2,3,3,3-pentadeuteriopropanoyloxy)propyl]-trimethylazanium;chloride
Unlabelled CAS Number
119793-66-7
SIL Type
Deuterium
Product Data
Storage Temperature
-20°C
Shipping Temperature
Room Temperature
Country of Origin
CANADA
Product Type
Stable Isotope Labelled
Product Format
Neat
{{title}}
Please login or register to add to your favourites
Or continue browsing without access to favourites or pricing
Please log in to view pricing and add to cart
Or continue browsing to see available rounds without pricing information
If you don't yet have an account, please create an account create an account
- Product Code:
{{ isMultiplePacksize(product) ? getSourcePart(product) : product.code }} {{ isMultiplePacksize(product) ? getSourcePart(product) : product.code }}
Controlled product
Login to view full product details
{{ addToCartData.mixPtRmWarning }}
Do you want to proceed?
{{ errors.first('requestQuoteForm.firstName') }}
{{ errors.first('requestQuoteForm.lastName') }}
{{ errors.first('requestQuoteForm.email') }}
{{ errors.first('requestQuoteForm.phoneCountryCode') }}
{{ errors.first('requestQuoteForm.phoneNumber') }}
{{ errors.first('requestQuoteForm.company') }}
{{ errors.first('requestQuoteForm.selectedShippingAddress') }}
{{ errors.first('requestQuoteForm.shippingCompanyName') }}
{{ errors.first('requestQuoteForm.shippingLine1') }}
{{ errors.first('requestQuoteForm.shippingCountry') }}
{{ errors.first('requestQuoteForm.shippingState') }}
{{ errors.first('requestQuoteForm.shippingCity') }}
{{ errors.first('requestQuoteForm.shippingPostCode') }}
{{ errors.first('requestQuoteForm.billingCompanyName') }}
{{ errors.first('requestQuoteForm.billingLine1') }}
{{ errors.first('requestQuoteForm.billingCountry') }}
{{ errors.first('requestQuoteForm.billingState') }}
{{ errors.first('requestQuoteForm.billingCity') }}
{{ errors.first('requestQuoteForm.billingPostCode') }}
{{ errors.first('requestQuoteForm.deliveryCountry') }}
{{ errors.first('requestQuoteForm.packSize') }}
{{ errors.first('requestQuoteForm.quantity') }}