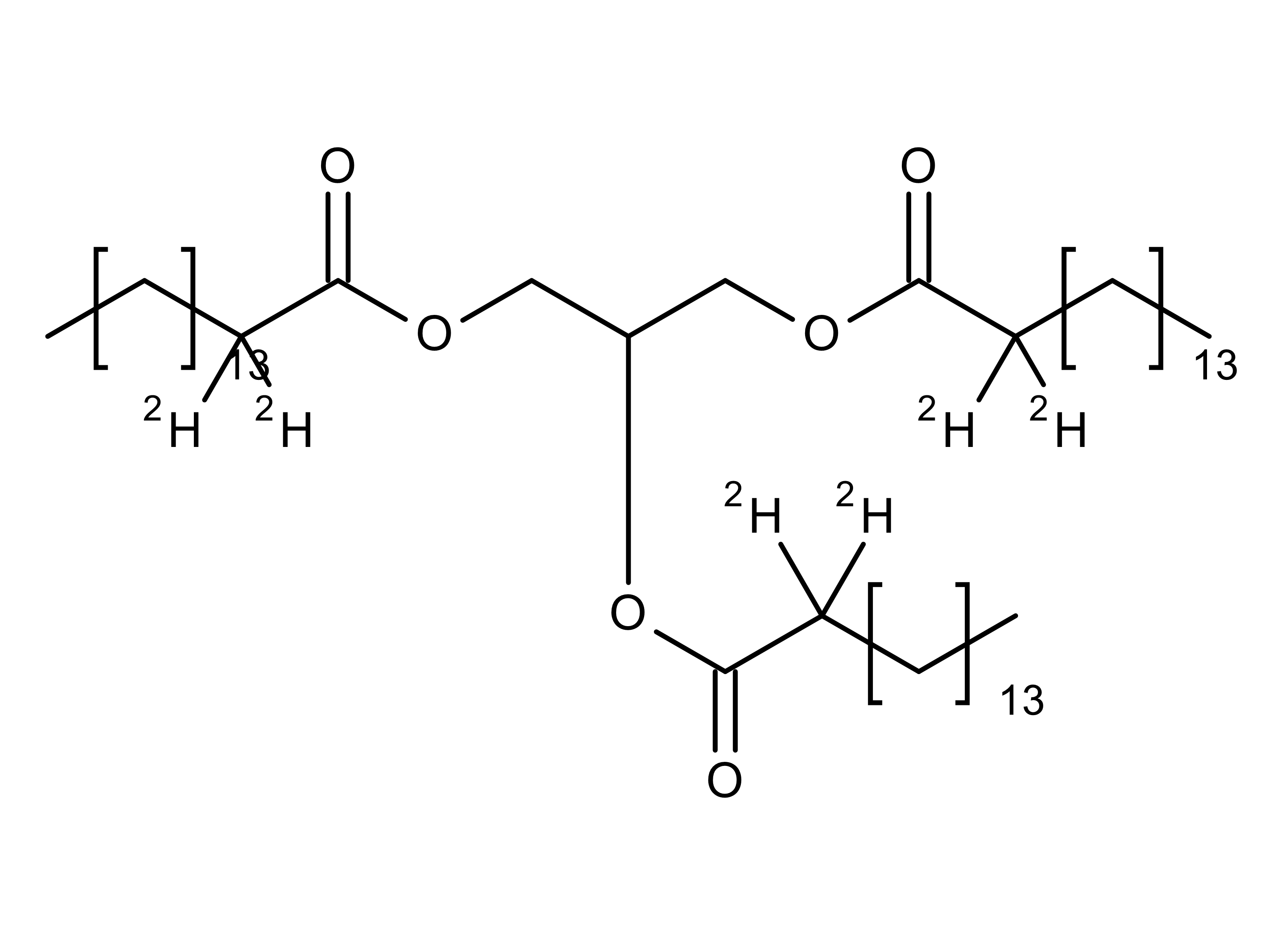
Glyceryl Tri(hexadecanoate-2,2-d2)
Product Code
TRC-T808133
CAS Number
Product Format
Neat
Molecular Formula
C51 D6 H92 O6
Molecular Weight
813.3572
Product Categories
Product Type
Stable Isotope LabelledUnlabelled CAS Number
Share product
- Product Name: Glyceryl Tri(hexadecanoate-2,2-d2)
- Product Code: TRC-T808133
- CAS Number: 241157-06-2
- Brand: TRC
Product Information
Chemical Data
Analyte Name
Tripalmitin-D6 (tri(hexadecanoyl-2,2-D2))
CAS Number
241157-06-2
Molecular Formula
C51 D6 H92 O6
Molecular Weight
813.3572
Accurate Mass
812.774
SMILES
[2H]C([2H])(CCCCCCCCCCCCCC)C(=O)OCC(COC(=O)C([2H])([2H])CCCCCCCCCCCCCC)OC(=O)C([2H])([2H])CCCCCCCCCCCCCC
InChI
InChI=1S/C51H98O6/c1-4-7-10-13-16-19-22-25-28-31-34-37-40-43-49(52)55-46-48(57-51(54)45-42-39-36-33-30-27-24-21-18-15-12-9-6-3)47-56-50(53)44-41-38-35-32-29-26-23-20-17-14-11-8-5-2/h48H,4-47H2,1-3H3/i43D2,44D2,45D2
IUPAC
2,3-bis(2,2-dideuteriohexadecanoyloxy)propyl 2,2-dideuteriohexadecanoate
Unlabelled CAS Number
555-44-2
SIL Type
Deuterium
Product Data
Shipping Temperature
Room Temperature
Country of Origin
CANADA
Product Type
Stable Isotope Labelled
Product Format
Neat
{{title}}
Please login or register to add to your favourites
Or continue browsing without access to favourites or pricing
Please log in to view pricing and add to cart
Or continue browsing to see available rounds without pricing information
If you don't yet have an account, please create an account create an account
- Product Code:
{{ isMultiplePacksize(product) ? getSourcePart(product) : product.code }} {{ isMultiplePacksize(product) ? getSourcePart(product) : product.code }}
Controlled product
Login to view full product details
{{ addToCartData.mixPtRmWarning }}
Do you want to proceed?
{{ errors.first('requestQuoteForm.firstName') }}
{{ errors.first('requestQuoteForm.lastName') }}
{{ errors.first('requestQuoteForm.email') }}
{{ errors.first('requestQuoteForm.phoneCountryCode') }}
{{ errors.first('requestQuoteForm.phoneNumber') }}
{{ errors.first('requestQuoteForm.company') }}
{{ errors.first('requestQuoteForm.selectedShippingAddress') }}
{{ errors.first('requestQuoteForm.shippingCompanyName') }}
{{ errors.first('requestQuoteForm.shippingLine1') }}
{{ errors.first('requestQuoteForm.shippingCountry') }}
{{ errors.first('requestQuoteForm.shippingState') }}
{{ errors.first('requestQuoteForm.shippingCity') }}
{{ errors.first('requestQuoteForm.shippingPostCode') }}
{{ errors.first('requestQuoteForm.billingCompanyName') }}
{{ errors.first('requestQuoteForm.billingLine1') }}
{{ errors.first('requestQuoteForm.billingCountry') }}
{{ errors.first('requestQuoteForm.billingState') }}
{{ errors.first('requestQuoteForm.billingCity') }}
{{ errors.first('requestQuoteForm.billingPostCode') }}
{{ errors.first('requestQuoteForm.deliveryCountry') }}
{{ errors.first('requestQuoteForm.packSize') }}
{{ errors.first('requestQuoteForm.quantity') }}