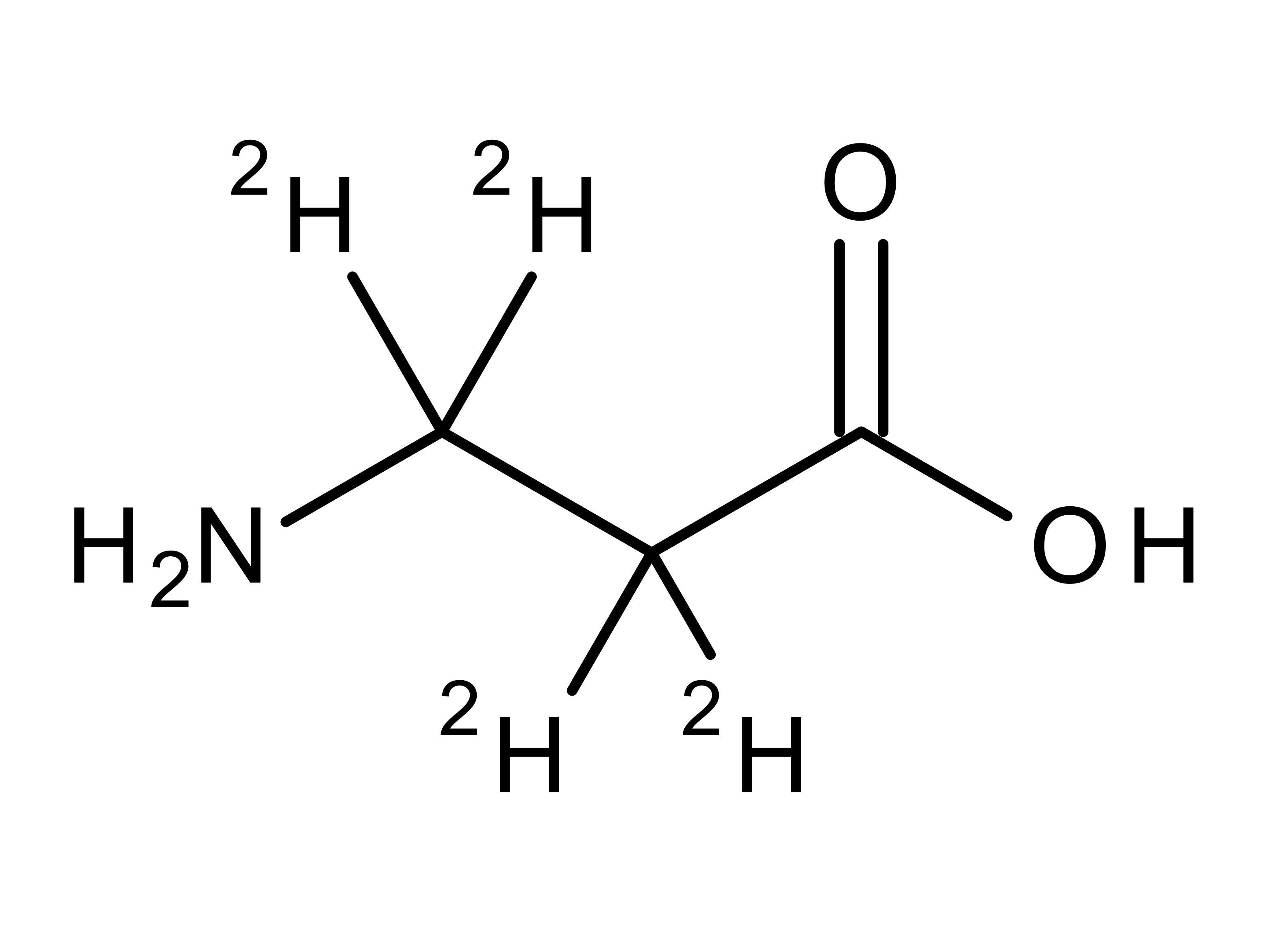
Beta-Alanine-2,2,3,3-D4
Kod produktu
TRC-A637322
Numer CAS
Postać produktu
Neat
Wzór cząsteczkowy
C3 D4 H3 N O2
Masa cząsteczkowa
93.118
Kategorie produktów
Modified amino acids, Stable isotopes, Stable Isotope Labelled Analytical Standards, TRC
Rodzaj produktu
Stable Isotope LabelledNieoznakowany numer CAS
Purity
>95% (HPLC)
Share product
- Product Name: Beta-Alanine-2,2,3,3-D4
- Numer katalogowy produktu: TRC-A637322
- Numer CAS: 116173-67-2
- Marka: TRC
Dokumentacja
Szukasz innej serii?
Aby natychmiast wyświetlić wszystkie świadectwa analizy, zaloguj się na swoje konto
lub
Wyślij e-mailem łącze do pobrania
{{ errors.first('RequestCoaForm.lotNumber') }}
{{ errors.first('RequestCoaForm.requestEmail') }}
Więcej informacji dotyczących przetwarzania danych znajduje się w naszej Polityce prywatności.
Wpisz swój adres e-mail, a wyślemy Ci odpowiedni CoA dla partii:
{{ coaPopupData.packSize.coaSelectedLotNumbers }}
{{ errors.first('SendDownloadCoaLinkForm.coaEmail') }}
Wyślemy CoA na Twój adres e-mail {{ coaEmailPopupData.userEmail }}
Your request has been sent to our sales team to process.
Informacje o produkcie
Chemical Data
Nazwa analitu
beta-Alanine-2,2,3,3-D4
Numer CAS
116173-67-2
Wzór cząsteczkowy
C3 D4 H3 N O2
Masa cząsteczkowa
93.118
Dokładna masa
93.073
SMILES
[2H]C([2H])(N)C([2H])([2H])C(=O)O
InChI
InChI=1S/C3H7NO2/c4-2-1-3(5)6/h1-2,4H2,(H,5,6)/i1D2,2D2
IUPAC
3-amino-2,2,3,3-tetradeuteriopropanoic acid
Nieoznakowany numer CAS
107-95-9
Typ SIL
Deuterium
Dane produktu
Temperatura przechowywania
+4°C
Temperatura podczas transportu
Room Temperature
Kraj pochodzenia
CANADA
Rodzaj produktu
Stable Isotope Labelled
Postać produktu
Neat
Purity
>95% (HPLC)
{{title}}
Zaloguj się lub zarejestruj, aby dodać do listy ulubionych
Możesz również kontynuować przeglądanie bez dostępu do listy ulubionych lub cennika
Zaloguj się, aby zobaczyć ceny i dodać do koszyka
Możesz również kontynuować przeglądanie dostępnych serii bez informacji o cenie
- Numer katalogowy produktu:
{{ isMultiplePacksize(product) ? getSourcePart(product) : product.code }} {{ isMultiplePacksize(product) ? getSourcePart(product) : product.code }}
Controlled product
Login to view full product details
{{ addToCartData.mixPtRmWarning }}
Czy chcesz kontynuować?
{{ errors.first('requestQuoteForm.firstName') }}
{{ errors.first('requestQuoteForm.lastName') }}
{{ errors.first('requestQuoteForm.email') }}
{{ errors.first('requestQuoteForm.phoneCountryCode') }}
{{ errors.first('requestQuoteForm.phoneNumber') }}
{{ errors.first('requestQuoteForm.company') }}
{{ errors.first('requestQuoteForm.selectedShippingAddress') }}
{{ errors.first('requestQuoteForm.shippingCompanyName') }}
{{ errors.first('requestQuoteForm.shippingLine1') }}
{{ errors.first('requestQuoteForm.shippingCountry') }}
{{ errors.first('requestQuoteForm.shippingState') }}
{{ errors.first('requestQuoteForm.shippingCity') }}
{{ errors.first('requestQuoteForm.shippingPostCode') }}
{{ errors.first('requestQuoteForm.billingCompanyName') }}
{{ errors.first('requestQuoteForm.billingLine1') }}
{{ errors.first('requestQuoteForm.billingCountry') }}
{{ errors.first('requestQuoteForm.billingState') }}
{{ errors.first('requestQuoteForm.billingCity') }}
{{ errors.first('requestQuoteForm.billingPostCode') }}
{{ errors.first('requestQuoteForm.deliveryCountry') }}
{{ errors.first('requestQuoteForm.packSize') }}
{{ errors.first('requestQuoteForm.quantity') }}