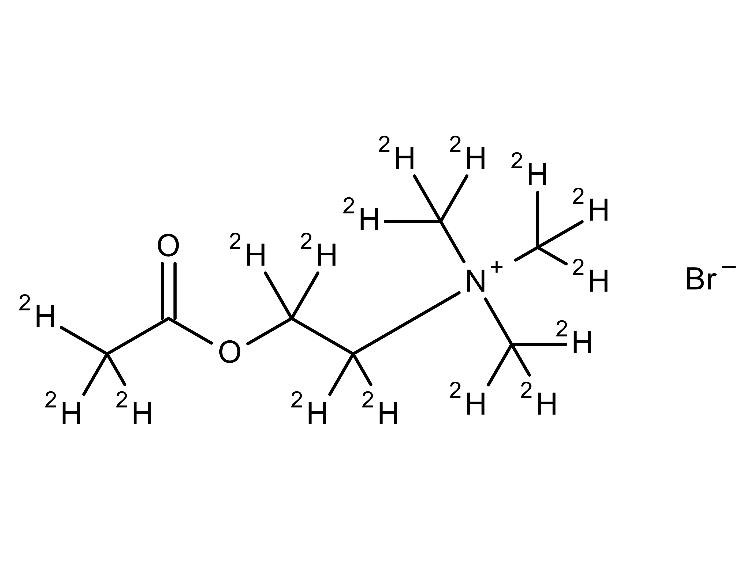
Acetylcholine-d16 Bromide
Product Code
CDN-D-0380
CAS Number
Product Format
Neat
Molecular Formula
C7 D16 N O2 . Br
Molecular Weight
242.21
Product Categories
Stable isotopes, Stable Isotope Labelled Analytical Standards, Nitrogen compounds
Product Type
Stable Isotope LabelledUnlabelled CAS Number
Purity
99 atom % D, min 98% Chemical Purity
Share product
- Product Name: Acetylcholine-d16 Bromide
- Product Code: CDN-D-0380
- CAS Number: 347841-43-4
- Brand: CDN
Documentation
Find an SDS for your region
{{ errors.first('RequestSdsForm.selectedRegion') }}
{{ errors.first('RequestSdsForm.sdsEmail') }}
For information about our data processing activities, please visit our Privacy Notice.
Your request has been sent to our sales team to process.
Product Information
Analyte Data
Analyte Name
Acetylcholine-D16 Bromide
CAS Number
347841-43-4
Molecular Formula
C7 D16 N O2 . Br
Molecular Weight
242.21
Accurate Mass
241.1369
SMILES
[Br-].[2H]C([2H])([2H])C(=O)OC([2H])([2H])C([2H])([2H])[N+](C([2H])([2H])[2H])(C([2H])([2H])[2H])C([2H])([2H])[2H]
InChI
InChI=1S/C7H16NO2.BrH/c1-7(9)10-6-5-8(2,3)4;/h5-6H2,1-4H3;1H/q+1;/p-1/i1D3,2D3,3D3,4D3,5D2,6D2;
IUPAC
[1,1,2,2-tetradeuterio-2-(2,2,2-trideuterioacetyl)oxyethyl]-tris(trideuteriomethyl)azanium;bromide
Unlabelled CAS Number
66-23-9
SIL Type
Deuterium
Product Data
Storage Temperature
Room Temperature
Shipping Temperature
Room Temperature
Country of Origin
CANADA
Product Format
Neat
Purity
99 atom % D, min 98% Chemical Purity
{{title}}
Please login or register to add to your favourites
Or continue browsing without access to favourites or pricing
Please log in to view pricing and add to cart
Or continue browsing to see available rounds without pricing information
If you don't yet have an account, please create an account create an account
- Product Code:
{{ isMultiplePacksize(product) ? getSourcePart(product) : product.code }} {{ isMultiplePacksize(product) ? getSourcePart(product) : product.code }}
Controlled product
Login to view full product details
{{ addToCartData.mixPtRmWarning }}
Do you want to proceed?
{{ errors.first('requestQuoteForm.firstName') }}
{{ errors.first('requestQuoteForm.lastName') }}
{{ errors.first('requestQuoteForm.email') }}
{{ errors.first('requestQuoteForm.phoneCountryCode') }}
{{ errors.first('requestQuoteForm.phoneNumber') }}
{{ errors.first('requestQuoteForm.company') }}
{{ errors.first('requestQuoteForm.selectedShippingAddress') }}
{{ errors.first('requestQuoteForm.shippingCompanyName') }}
{{ errors.first('requestQuoteForm.shippingLine1') }}
{{ errors.first('requestQuoteForm.shippingCountry') }}
{{ errors.first('requestQuoteForm.shippingState') }}
{{ errors.first('requestQuoteForm.shippingCity') }}
{{ errors.first('requestQuoteForm.shippingPostCode') }}
{{ errors.first('requestQuoteForm.billingCompanyName') }}
{{ errors.first('requestQuoteForm.billingLine1') }}
{{ errors.first('requestQuoteForm.billingCountry') }}
{{ errors.first('requestQuoteForm.billingState') }}
{{ errors.first('requestQuoteForm.billingCity') }}
{{ errors.first('requestQuoteForm.billingPostCode') }}
{{ errors.first('requestQuoteForm.deliveryCountry') }}
{{ errors.first('requestQuoteForm.packSize') }}
{{ errors.first('requestQuoteForm.quantity') }}