text.skipToContent text.skipToNavigation

{{ addToCartData.mixPtRmWarning }}

Do you want to proceed?

{{requestQuote.productName}}; {{requestQuote.displayProductCode}}

Thank you

We will respond to your enquiry shortly.

Something went wrong, please try again later.

Quick Order
If not, click 'cancel'. You can also save this item for later.
Cancel

Product Code

TRC-R495559

CAS Number

2483736-20-3

Product Format

Neat

Molecular Formula

13C6 C2 H8 N2 O2

Molecular Weight

170.11725

Product Categories

TRC

Price and availability

Sign in to view your unique pricing agreement and check out

{{ favouriteItem.successMessage }}

View favourites

Product removed from your favourites

{{ addToCartData.mixPtRmWarning }}

Do you want to proceed?

{{requestQuote.productName}}; {{requestQuote.displayProductCode}}

Thank you

We will respond to your enquiry shortly.

Something went wrong, please try again later.

Product Information

Chemical Data

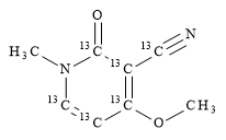
Analyte Name

Ricinine-13C6

CAS Number

2483736-20-3

Molecular Formula

13C6 C2 H8 N2 O2

Molecular Weight

170.11725

Accurate Mass

170.0787

SMILES

N#[13C][13C]1=[13C]([13CH]=[13CH]N([13C]1=O)C)OC

InChI

InChI=1S/C8H8N2O2/c1-10-4-3-7(12-2)6(5-9)8(10)11/h3-4H,1-2H3/i3+1,4+1,5+1,6+1,7+1,8+1

IUPAC

4-methoxy-1-methyl-2-oxo-(2,3,4,5,6-13C5)pyridine-3-(13C)carbonitrile

SIL Type

Carbon

Product Data

Country of Origin

CANADA

Product Format

Neat

Punchout session timeout warning

Your punchout session will expire in 1 min 59 sec.

Select "Continue session" to extend your session.