text.skipToContent text.skipToNavigation

{{ addToCartData.mixPtRmWarning }}

Do you want to proceed?

{{requestQuote.productName}}; {{requestQuote.displayProductCode}}

Thank you

We will respond to your enquiry shortly.

Something went wrong, please try again later.

Quick Order
If not, click 'cancel'. You can also save this item for later.
Cancel

{{ favouriteItem.successMessage }}

View favourites

Product removed from your favourites

{{ addToCartData.mixPtRmWarning }}

Do you want to proceed?

{{requestQuote.productName}}; {{requestQuote.displayProductCode}}

Thank you

We will respond to your enquiry shortly.

Something went wrong, please try again later.

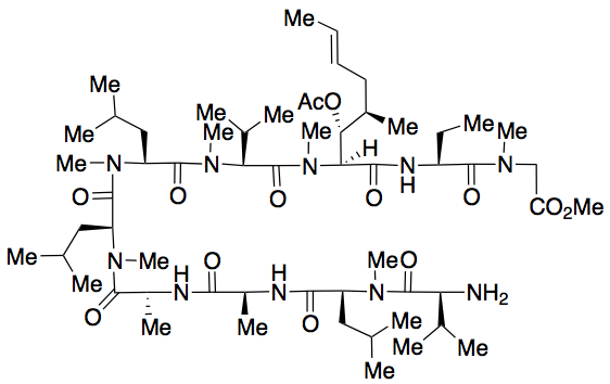
Product Overview

Product Code

TRC-V096300

CAS Number

156047-45-9

Product Format

Neat

Molecular Formula

C58H104N10O13

Molecular Weight

1149.51

Product Information

Chemical Data

Analyte Name

Des(N-Methyl-leucyl) Cyclosporin A seco(MeGly-MeLeu) Methyl Ester

CAS Number

156047-45-9

Molecular Formula

C58H104N10O13

Molecular Weight

1149.51

Accurate Mass

1148.7784

SMILES

CC[C@H](NC(=O)[C@H]([C@H](OC(=O)C)[C@H](C)C\C=C\C)N(C)C(=O)[C@@H](C(C)C)N(C)C(=O)[C@H](CC(C)C)N(C)C(=O)[C@@H](CC(C)C)N(C)C(=O)C(C)NC(=O)C(C)NC(=O)[C@H](CC(C)C)N(C)C(=O)[C@@H](N)C(C)C)C(=O)N(C)CC(=O)OC

InChI

InChI=1S/C58H104N10O13/c1-24-26-27-37(13)49(81-40(16)69)48(52(73)62-41(25-2)54(75)63(17)31-45(70)80-23)68(22)58(79)47(36(11)12)67(21)56(77)44(30-34(7)8)66(20)55(76)43(29-33(5)6)65(19)53(74)39(15)61-50(71)38(14)60-51(72)42(28-32(3)4)64(18)57(78)46(59)35(9)10/h24,26,32-39,41-44,46-49H,25,27-31,59H2,1-23H3,(H,60,72)(H,61,71)(H,62,73)/b26-24+/t37-,38?,39?,41+,42+,43-,44+,46+,47-,48+,49-/m1/s1

IUPAC

methyl 2-[[(2S)-2-[[(E,2S,3R,4R)-3-acetyloxy-2-[[(2R)-2-[[(2S)-2-[[(2R)-2-[2-[2-[[(2S)-2-[[(2S)-2-amino-3-methylbutanoyl]-methylamino]-4-methylpentanoyl]amino]propanoylamino]propanoyl-methylamino]-4-methylpentanoyl]-methylamino]-4-methylpentanoyl]-methylamino]-3-methylbutanoyl]-methylamino]-4-methyloct-6-enoyl]amino]butanoyl]-methylamino]acetate

Product Data

Shipping Temperature

Room Temperature

Country of Origin

CANADA

Product Format

Neat

Punchout session timeout warning

Your punchout session will expire in 1 min 59 sec.

Select "Continue session" to extend your session.