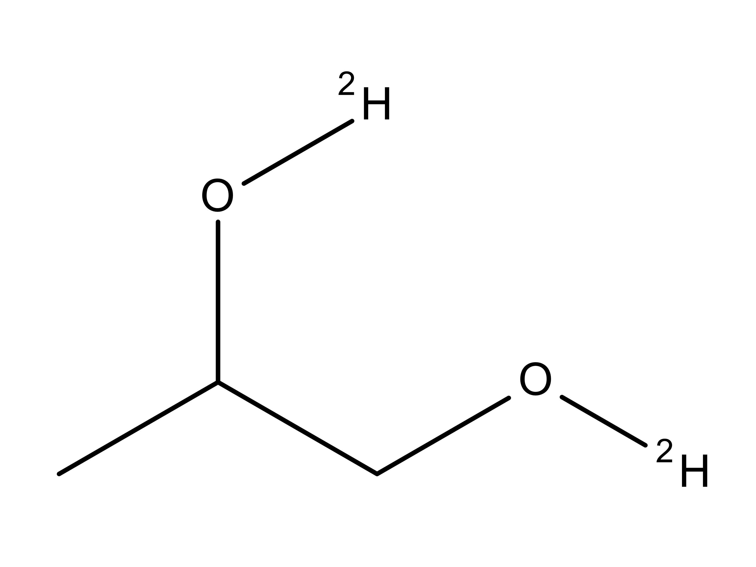
(±)-1,2-Propanediol-(OD)2
Product Code
CDN-D-0386
CAS Number
Product Format
Neat
Molecular Formula
C3 D2 H6 O2
Molecular Weight
78.107
Product Categories
Product Type
Stable Isotope LabelledUnlabelled CAS Number
Purity
98 atom % D, min 98% Chemical Purity
Share product
- Product Name: (±)-1,2-Propanediol-(OD)2
- Product Code: CDN-D-0386
- CAS Number: 58161-11-8
- Brand: CDN
Documentation
Looking for another lot?
To view all certificates of analysis immediately, please login to your account
or
Email download link
{{ errors.first('RequestCoaForm.lotNumber') }}
{{ errors.first('RequestCoaForm.requestEmail') }}
For information about our data processing activities, please visit our Privacy Notice.
Enter your email address and we'll email you the relevant CoA for lots:
{{ coaPopupData.packSize.coaSelectedLotNumbers }}
{{ errors.first('SendDownloadCoaLinkForm.coaEmail') }}
We will be sending the CoA to your email address {{ coaEmailPopupData.userEmail }}
Your request has been sent to our sales team to process.
Find an SDS for your region
{{ errors.first('RequestSdsForm.selectedRegion') }}
{{ errors.first('RequestSdsForm.sdsEmail') }}
For information about our data processing activities, please visit our Privacy Notice.
Your request has been sent to our sales team to process.
Product Information
Analyte Data
Analyte Name
1,2-Propanediol D2 (Di-O-D2)
CAS Number
58161-11-8
Molecular Formula
C3 D2 H6 O2
Molecular Weight
78.107
Accurate Mass
78.065
SMILES
[2H]OCC(C)O[2H]
InChI
InChI=1S/C3H8O2/c1-3(5)2-4/h3-5H,2H2,1H3/i4D,5D
IUPAC
1,2-dideuteriooxypropane
Unlabelled CAS Number
57-55-6
SIL Type
Deuterium
Product Data
Storage Temperature
Room Temperature
Shipping Temperature
Room Temperature
Country of Origin
CANADA
Product Format
Neat
Purity
98 atom % D, min 98% Chemical Purity
{{title}}
Please login or register to add to your favourites
Or continue browsing without access to favourites or pricing
Please log in to view pricing and add to cart
Or continue browsing to see available rounds without pricing information
If you don't yet have an account, please create an account create an account
- Product Code:
{{ isMultiplePacksize(product) ? getSourcePart(product) : product.code }} {{ isMultiplePacksize(product) ? getSourcePart(product) : product.code }}
Controlled product
Login to view full product details
{{ addToCartData.mixPtRmWarning }}
Do you want to proceed?
{{ errors.first('requestQuoteForm.firstName') }}
{{ errors.first('requestQuoteForm.lastName') }}
{{ errors.first('requestQuoteForm.email') }}
{{ errors.first('requestQuoteForm.phoneCountryCode') }}
{{ errors.first('requestQuoteForm.phoneNumber') }}
{{ errors.first('requestQuoteForm.company') }}
{{ errors.first('requestQuoteForm.selectedShippingAddress') }}
{{ errors.first('requestQuoteForm.shippingCompanyName') }}
{{ errors.first('requestQuoteForm.shippingLine1') }}
{{ errors.first('requestQuoteForm.shippingCountry') }}
{{ errors.first('requestQuoteForm.shippingState') }}
{{ errors.first('requestQuoteForm.shippingCity') }}
{{ errors.first('requestQuoteForm.shippingPostCode') }}
{{ errors.first('requestQuoteForm.billingCompanyName') }}
{{ errors.first('requestQuoteForm.billingLine1') }}
{{ errors.first('requestQuoteForm.billingCountry') }}
{{ errors.first('requestQuoteForm.billingState') }}
{{ errors.first('requestQuoteForm.billingCity') }}
{{ errors.first('requestQuoteForm.billingPostCode') }}
{{ errors.first('requestQuoteForm.deliveryCountry') }}
{{ errors.first('requestQuoteForm.packSize') }}
{{ errors.first('requestQuoteForm.quantity') }}